Which of the following are true:

f’(0) is given by:
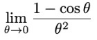
Solution to above limit is____?
f is continuous at x = 0, then find the value of a:
is continuous at x = 1, then find the values of a and b
(Upto 2 decimals)


is increasing and for what values of x it is decreasing.
Choose the correct option: [MSQ]
Choose the correct option:
percent. Determine the day on which the operating rate is maximized.
Find (in terms of N) the ratio of height to base radius of the cylinder that minimizes the cost of making the containers.
You want to make cylindrical containers of a given volume V using the least amount of construction material. The side is made from a rectangular piece of material, and this can be done with no material wasted. However, the top and bottom are cut from squares of side 2r.so that 2(2r)^2= 8r^2 of material is needed (rather than 2πr^2 which is the total area of the top and bottom). Find the optimal ratio of height to radius.