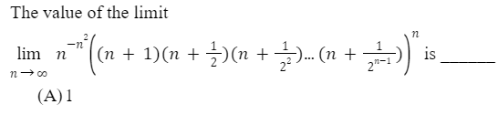
is
are _______
(I) Zero matrix is a diagonal matrix
(II) Identity matrix is a diagonal matrix
(III) A scalar matrix is a diagonal matrix
(IV) For diagonal matrix, determinant will not be zero
x+y+z=6
x+2y+3z=10
x+2y+az=b


Which of the following ordered pair can be added to make the relation R will be a partial order relation
The number of ways this combination could happen as ___
Note: x,y are all kinds of persons in a family.

〈2, 0, 2, 0, 2, 0, ....〉
T(n)=T(n-1)+n; T(1)=1 is
is

The number of edges in the Dodecahedron is _____
is --
Then P(B) value is
On a day, there was instruction for two planes being sent. Two keys are chosen one after the other from the box and takeoff pass was issued. What is the probability that both are dassault planes are given pass?
The largest possible subgroup of ‘G’ is ______